使用分辨率测试卡的MTF值,并不能全面的检测出镜头的全部状态。检测镜头性能通过单一类型的测试卡是无法完成的,这需要使用关于性能检测的多种测试卡配合测试软件和测试设备一同完成。这一个复杂而繁琐的过程,一般只有镜头生产商和专门的实验室、研究室才会去做。这种说法没有人会感到惊讶,一个像镜头一样复杂的系统不可能仅被这几个数字就完全描述出来。镜头的性能数据,无论是通过计算机计算,还是在实验室中测量,都可以写出一本书来,那么简化过程就显得相当的必要。
有两个分辨率测试卡检测具有相同MTF数据的镜头,但可能产生完全不同的图像细节,而且这种情况并不是随机发生的,从下面一组图片中我们可以看出。

两张相片都是使用高速广角镜头且在全光圈下拍摄的,细节靠近边缘。照片显示了一个房子的屋顶和一个明亮的天空前面的一棵树,即这是一个对比丰富的地平线典型图片。低空间频率下的MTF在黑暗前景物体的边缘特别重要,因为它决定了图片的眩光量。在左边的照片中,屋顶没有眩光,而树跟右边照片中正好相反的。如果这张照片中没有树,就可以判断左边的照片是更好的照片(以黑白为准)。 但是这两张照片是在分辨率测试卡检测的就有空间频率相同的MTF值是照射的,效果却截然不同。
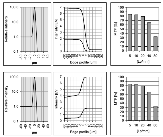
MTF没有告诉我们这个差异,因为它还不能完全描述点扩散函数的特征。真正完整的光传输函数OTF还具有第二部分,相位传递函数PTF经常被忽略。它与点扩散函数的对称性有关。如果我们考虑到点扩散函数可以延长的事实,会发现它们在切向和矢状方向上具有不同的差异。 因此,我们测量每个图像点的两个MTF曲线。在前述示例中,我们已经默认地假设亮度分布在点扩散函数的一个横截面方向上是对称的,但实际上,情况往往不是这样。点扩散函数可以像下面的例子一样倾斜。最常见的原因是产生点扩散函数的径向误差。

边缘的方向对于这种偏斜点扩散函数强度分布是非常重要的。该点扩散功能具有左侧最大强度1%的光晕,右侧突然停止。如果边缘明亮的一面在右边,它会在左边(底部)产生眩光。 如果是相反的情况,并且边缘左侧是亮的(顶部),则边缘图像的对比度很高,因为点扩散函数仅向右延伸很短的距离。
通常我们使用分辨率测试卡检测的MTF值一般不考虑这种对方位的依赖性。包含在相位传递函数中,取决于点扩散函数“尾”的方向。这个名字源于这种偏斜点扩散函数使正弦曲线图案的相位,即它的最大值和最小值的位置偏移。所以说就算是使用分辨率测试卡的MTF值,也并不能全面的检测出镜头的全部状态。
电话:400-888-5135
传真:0755-26078633
邮箱:3nh@3nh.com